1. Vector-Valued Function
이전까지 다룬 함수는 n차원에서 1차원으로 mapping 되는 것이었다면,

이 장에서 다룰 함수는 n차원에서 m차원으로, 즉 더 일반적인 경우에 대한 mapping을 다룬다. (이때 n>=1, m>1을 만족한다.)

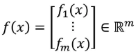
n차원에서 m차원으로 mapping 되는 이 function values의 vector은 아래와 같다. input이 모두 vector임을 확인할 수 있다.

1.1. Gradient for Vector-Valued Function
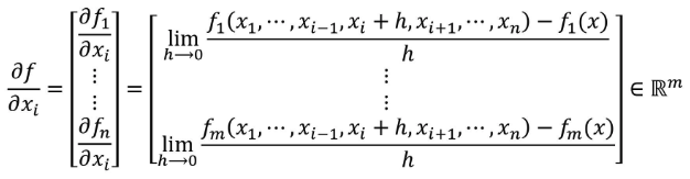
n에서 m차원으로 mapping 되는 위 vector-valued function의 partial derivative를 구하면 아래와 같다.

- partial derivatives의 row vector형태가 우리가 구하려는 각 f의 gradient이고,
- 모든 partial derivatives는 column vector로 이루어져 있다.
즉, 다음과 같이, parital derivatives를 row 방향으로 결합한 형태로 vector-valued function의 gradient를 구할 수 있다.

이때, 표시된 ㉠의 경우, "1번째 input에 대한, m번째 output의 변화량"을 의미한다.
그리고, 위와 같이 mxn형태로 주어진 matrix를 Jacobain이라 한다.
2. Jacobian
앞서 언급했듯이, dim(n)에서 dim(m)에 mapping 되는 Vector-valued function의 모든 첫번째 partial derivative의 모음을 Jacobian이라 하고 다음과 같이 나타낸다.
dim(n)에서 dim(m)으로 mapping되는 Jaconian matrix는 mxn의 size를 갖는다.

이때 input인 x는 다음과 같은 n차원의 column vector 형태를 띄며, 주어진 Jacobian은 "i 번째 output의 변화량 / j 번째 input의 변화량"을 의미한다.

2.1. Jacobian을 이용하여 Gradient 구하기
1st) Gradient: df/dx를 구하기 위해, 우선 gradient의 차원을 결정한다.
주어진 vector-valued function이 다음과 같으므로,

Gradient의 차원은 다음과 같이 결정될 것이다.

2nd) 모든 xj에 관한 f의 partial derivatives를 구한다. 이는 다음과 같다.

3rd) Jacobian에 있는 모든 partial derivatives를 결합하여 gradient를 구한다. 내용은 다음과 같다.

'수학(Mathematics) > 미적분학(Calculus)' 카테고리의 다른 글
| [벡터 미적분학] 고계도함수와 헤시안 행렬 (Higher-Order Derivative & Hessian matrix) (0) | 2023.06.05 |
|---|---|
| [벡터 미적분학] 최소제곱해와 사영 (Least-square solution and projection) (0) | 2023.05.16 |
| [벡터 미적분학] 편미분과 기울기 (Partial Differentiation and Gradients) (0) | 2023.05.16 |
| [벡터 미적분학] 단변량함수의 미분 (Differentiation of Univariate Functions) (0) | 2023.05.15 |
| [벡터 미적분학] 벡터 미적분학이란? (0) | 2023.05.15 |