3. Exponential Random Variable(지수확률변수)
3.1. PDF
PDF가 𝜆>0의 범위에서 다음과 같은 Continuous random variable을 Exponential Random Variable이라 부른다.
3.2. CDF
Exponential Random Variable의 CDF: F(x)는 다음과 같다.
이에 대한 증명은 아래와 같다.
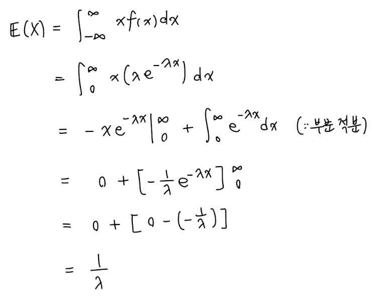
3.3. Expectation
Exponential Random Variable의 Expectation은 다음과 같다.
이에 대한 증명은 아래와 같다.
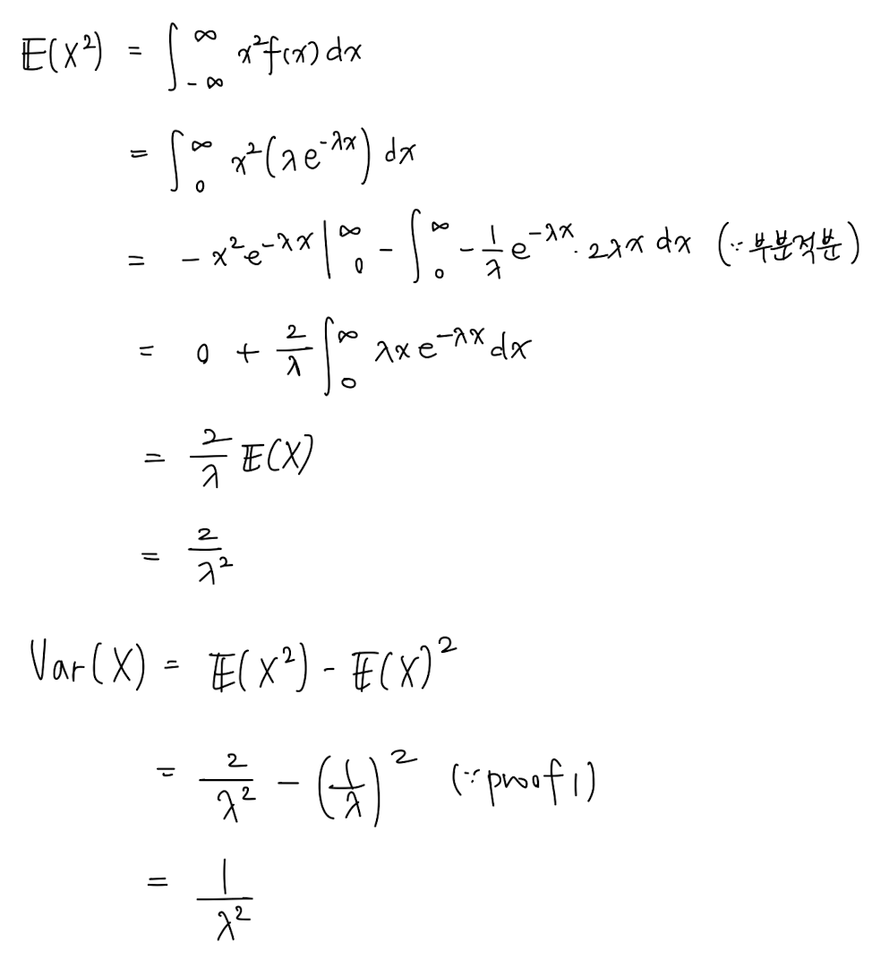
3.4. Variance
Exponential Random Variable의 Variance는 다음과 같다.
이에 대한 증명은 아래와 같다.
'수학(Mathematics) > 확률및통계(Probability & Statistics)' 카테고리의 다른 글
[연속확률변수] 와이블분포 (Weibull Distribution) (0) | 2023.05.30 |
---|---|
[연속확률변수] 감마분포 (Gamma Distribution) (0) | 2023.05.30 |
[연속확률변수] 정규확률변수 (Gaussian/Normal Random Variable) (0) | 2023.05.15 |
[연속확률변수] 균일확률변수 (Uniform Random Variable) (0) | 2023.05.15 |
[연속확률변수] 기댓값과 분산 (Expectation and Variance) (1) | 2023.05.14 |