1. Uniform Random Variable(균일확률변수)
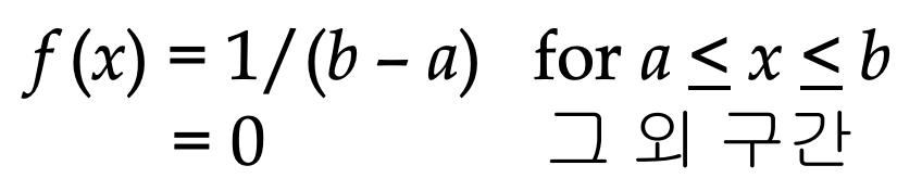
확률변수 X의 Probability density function이 다음과 같이 주어지면, X를 구간 (a,b)에서 Uniform random variable이라 한다.
X가 (a,b)의 어떤 특정한 부분구간에 포함될 확률은 그 부분구간의 길이와 같다.
1.1. PDF
확률변수 X의 Probability density function이 다음과 같이 주어지면, X를 구간 (a,b)에서 Uniform random variable이라 한다.
X가 (a,b)의 어떤 특정한 부분구간에 포함될 확률은 그 부분구간의 길이와 같다.

1.2. CDF
Uniform Random Variable의 CDF는 다음과 같다.

이에 대한 증명은 아래와 같다.

1.3. Expectation
Uniform Random Variable의 Expectation은 다음과 같다.

이에 대한 증명은 아래와 같다.

1.4. Variance
Uniform Random Variable의 Variance는 다음과 같다.

이에 대한 증명은 아래와 같다.

'수학(Mathematics) > 확률및통계(Probability & Statistics)' 카테고리의 다른 글
| [연속확률변수] 감마분포 (Gamma Distribution) (0) | 2023.05.30 |
|---|---|
| [연속확률변수] 지수확률변수 (Exponential Random Variable) (0) | 2023.05.15 |
| [연속확률변수] 정규확률변수 (Gaussian/Normal Random Variable) (0) | 2023.05.15 |
| [연속확률변수] 기댓값과 분산 (Expectation and Variance) (1) | 2023.05.14 |
| [연속확률변수] 확률밀도함수 (Probability Density Function) (0) | 2023.05.14 |