1. Continuous Random Variable(연속확률변수)
가능한 확률변수의 값의 집합이 1)유한이거나, 2) 가산 무한할 경우, 이 확률 변수를 "Discrete Random Variable(이산확률변수)라 부른다. 즉, 셀 수 있으면 Discrete Random Variable이다.
하지만, 가능한 값의 집합을 셀 수 없는 확률변수도 존재한다. 이를 Continuous Random Variable(연속확률변수)라 부른다.
2. Probability Density Function | PDF (확률밀도함수)
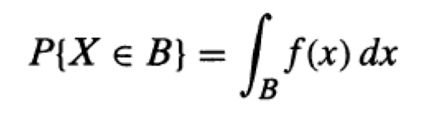
모든 실수 x∈(-∞,∞)에 대해 정의된 음이 아닌 함수 f가 존재하여 임의의 실수의 집합 B에 대해 다음을 만족하면, X를 Continuous Random Variable이라고 한다.
이때, 함수 f를 확률변수 X의 Probability Density Function이라 한다.
즉, probability density function을 집합 B의 구간으로 적분하면, 위 식 (1)을 구할 수 있다.
3. PDF의 성질
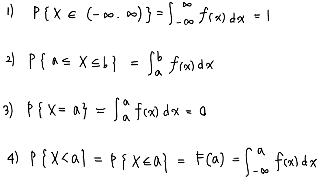
대표적인 Probability density function의 성질은 아래와 같다.
4번 성질은 3에 의해 성립한다.
4번 성질은 continuous에서만 성립함을 유의하자. discrete에서도 성립한다고 혼동하지 말자.
4. Cumulative Distribution Function | CDF(누적분포함수)와 PDF의 관계
F(CDF)와 f(PDF)의 관계는 아래와 같다.
CDF를 미분하면 PDF가 된다. 즉, PDF(밀도함수)는 CDF(누적분포함수)의 도함수이다.
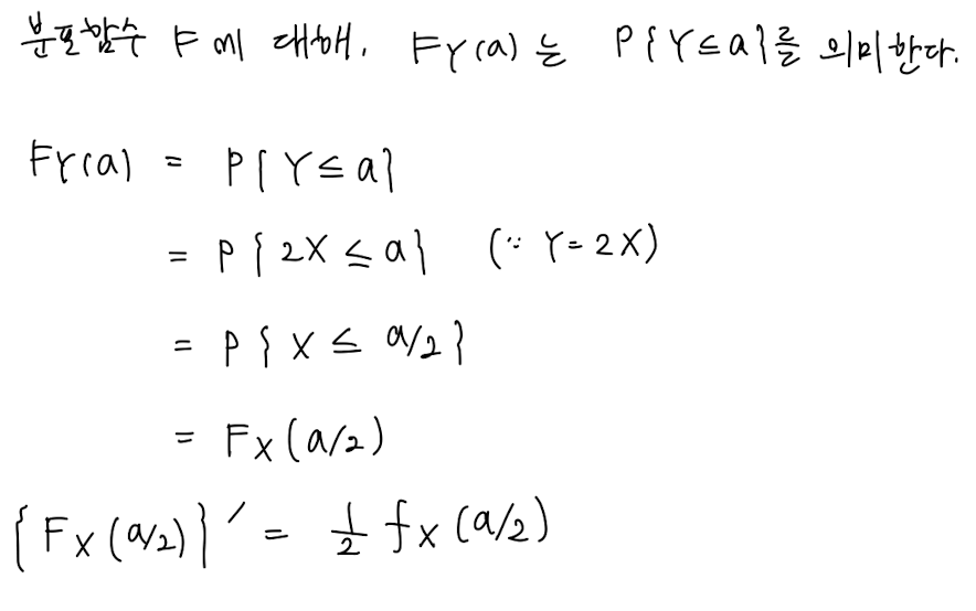
예제) X가 분포함수 Fx와 밀도함수 fx를 가진 연속확률변수일 때 Y=2X의 밀도함수를 구하라.
밀도함수는 분포함수를 미분하여 구할 수 있다.
'수학(Mathematics) > 확률및통계(Probability & Statistics)' 카테고리의 다른 글
[연속확률변수] 감마분포 (Gamma Distribution) (0) | 2023.05.30 |
---|---|
[연속확률변수] 지수확률변수 (Exponential Random Variable) (0) | 2023.05.15 |
[연속확률변수] 정규확률변수 (Gaussian/Normal Random Variable) (0) | 2023.05.15 |
[연속확률변수] 균일확률변수 (Uniform Random Variable) (0) | 2023.05.15 |
[연속확률변수] 기댓값과 분산 (Expectation and Variance) (1) | 2023.05.14 |